Contoh Ayat Penanda Wacana Namun Demikian

Daripada perspektif yang berbeza 6.
Contoh ayat penanda wacana namun demikian. Seperti yang kita sedia maklum 6. Pada era globalisasi ini b. Jalan itu agak sunyi. Demikian juga dengan kami.
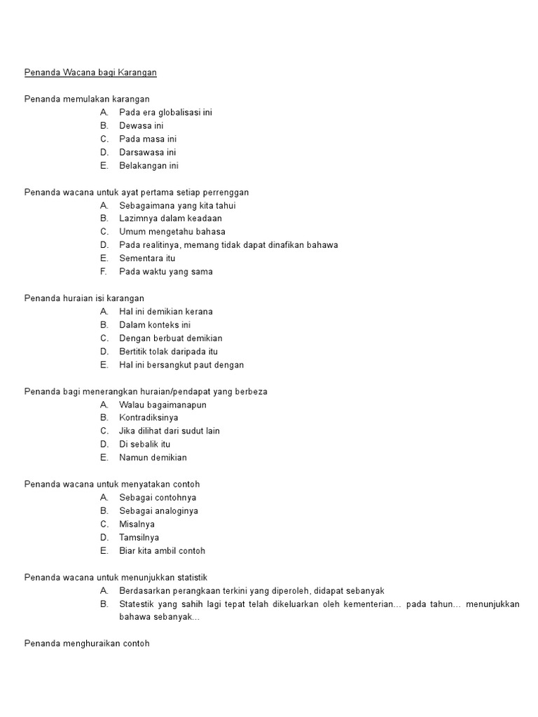
Juga sering digunakan apabila memulakan perenggan yang baru. Hal ini menyebabkan 3. Penanda wacana untuk ayat terakhir pendahuluan karangan oleh itu kebaikan dan keburukan yang mewarnai fokus perbincangan akan dihuraikan dengan terperinci demi kebaikan bersama. Penanda wacana juga dikenali sebagai perangkai ayat.
Apabila dua ayat digabungkan dengan penanda wacana yang sesuai ayat itu akan menjadi lebih lancar dan sempurna serta mempunyai pertalian yang idea. Antaranya adalah seperti 7. Sungguhpun demikian kami tidak pernah meminta belas ihsan daripada orang lain. Penanda wacana ialah rangkai kata yang digunakan untuk menghubungkan dua ayat atau idea.
Dengan kata lain 8. Hal ini mengakibatkan 2. Oleh hal yang demikian 6. Dia juga melibatkan diri dalam penternakan itik untuk menambah pendapatannya.
Namun begitu dia jarang membantu rakannya yang lemah dalam pelajaran. Jika dilihat dari sudut lain f. Penanda menulis dua huraian dalam satu ayat contoh. Sebagai memperkukuhkan lagi penyataan tersebut punca punca yang menunjangi masalah ini perlu diperincikan demi kebaikan bersama.
A di samping itu b namun demikian c tambahan pula 11. Contoh ayat 1 pengurus itu menghadiahi. Kami daripada keluarga yang miskin. Oleh sebab itu 7.
Penanda penggantian perkataan atau frasa yang menggantikan perkataan atau frasa lain dalam wacana yang sama. Menghubungkan satu ayat dengan ayat yang lain suatu isi dengan isi yang lain dan suatu idea dengan idea yang saling berkaitan. Masalah sosial yang dibincangkan oleh masyarakat ini memang memeningkan kepala huraian 1 x. Penanda wacana biasa digunakan untuk menulis ringkasan dan pemahaman.
Daripada perspektif yang berbeza e. A oleh yang demikian b sungguhpun demikian c dengan itu 10. Penanda permulaan karangan a. Saliza memang seorang murid yang pintar.
Pengulangan kata atau rangkai kata utama. Antara contoh v penanda wacana untuk menghuraikan contoh 1. Penanda wacana ialah perkataan ataupun rangkaian perkataan yang berfungsi merangkai ayat untuk melanjutkan sesuatu maklumat kegagalan dalam penggunaan penanda wacana yang tepat akan menyebabkan seluruh wacana tidak mempunyai perpautan yang lengkap. Hubungan ini terjadi dalam bentuk ayat baru atau perenggan baru.
Penanda wacana biasanya ditulis paling. Tetapi sebaliknya namun namun begitu walaupun walau bagaimanapun walaupun begitu cuma. Jika dilihat dari sudut lain 7.