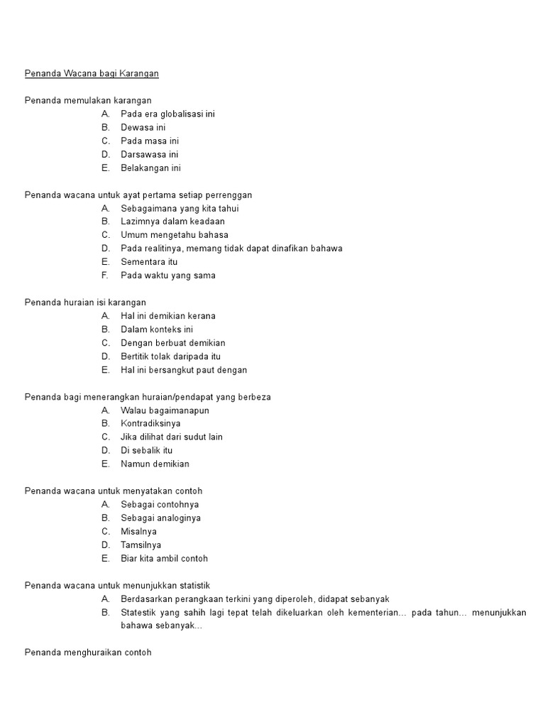
Penanda Wacana Hal Ini Demikian Kerana

Hal ini bersangkut paut dengan.
Penanda wacana hal ini demikian kerana. Oleh hal yang demikian saya telah menyediakan senarai peribahasa untuk para pelajar yang amat saya kasihi. Penanda wacana biasa digunakan untuk menulis ringkasan dan pemahaman. Hal ini disebabkan oleh. Banyak pelajar tidak mendapat markah yang baik kerana pembentukan ayat yang lemah.
Hal ini demikian kerana. Hal ini disebabkan oleh e. Hal ini demikian kerana 3. Hal ini disebabkan oleh 6.
Penanda huraian isi karangan a. Hal ini tercetus apabila 10. Penanda wacana ialah perkataan ataupun rangkaian perkataan yang berfungsi merangkai ayat untuk melanjutkan sesuatu maklumat kegagalan dalam penggunaan penanda wacana yang tepat akan menyebabkan seluruh wacana tidak mempunyai perpautan yang lengkap. Hal ini demikian kerana pembinaan ayat tidak berkesinambungan dan tidak mempunyai hubung kait yang rapat dan mesra.
Hal ini berlaku kerana 4. Hal ini bersangkut paut dengan g. Hal ini berpunca daripada h. Dalam catatan blog akan datang saya akan mengajar anda cara menggunakan penanda wacana yang kurang anda fahami.
Hal ini demikian kerana b. Hal ini terjadi kerana. Hal ini disebabkan oleh 6. Hal ini menyebabkan c.
Iii penanda wacana untuk menghuraikan isi karangan 1. Hal ini tercetus apabila 10. Saya berpendapat demikian kerana 2. Iii penanda huraian isi karangan a hal ini demikian kerana b hal ini berlaku kerana c hal ini terjadi kerana d hal ini disebabkan oleh e hal ini wujud akibat daripada f hal ini bersangkut paut dengan g hal ini berpunca daripada h hal ini tercetus apabila i hal ini timbul apakala iv penanda memberi contoh dalam karangan a misalnya.
Hal ini bersangkut paut dengan 8. Hal ini demikian kerana 3. Hal ini mengakibatkan b. Hal ini tercetus apabila v.
Saya berpendapat demikian kerana 2. Hal ini demikian kerana pembinaan ayat tidak berkesinambungan dan tidak mempunyai hubung kait yang rapat dan mesra oleh hal yang demikian saya telah menyediakan senarai peribahasa untuk para pelajar yang amat saya kasihi dalam catatan blog akan datang saya akan mengajar anda cara menggunakan penanda wacana. Antara contoh penanda wacana tentang ini termasuklah tetapi namun sebaliknya namun begitu dan walau bagaimanapun. Hal ini wujud akibat daripada 7.
Contoh penggunaannya dalam ayat adalah seperti yang berikut ini. Hal ini wujud akibat daripada f. Hal ini terjadi kerana 5. Hal ini terjadi kerana d.
Hal ini dikatakan demikian kerana pembinaan ayat tidak berkesinambungan dan tidak mempunyai hubung kait yang rapat dan mesra oleh hal yang demikian saya telah menyediakan senarai peribahasa untuk para pelajar yang amat saya kasihi dalam catatan blog akan datang saya akan mengajar anda cara menggunakan penanda. Hal ini berlaku kerana c. Hal ini demikian kerana pembinaan ayat tidak berkesinambungan dan tidak mempunyai hubung kait yang rapat dan mesra. Hal ini terjadi kerana 5.
Hal ini berlaku kerana. Iii penanda wacana untuk menghuraikan isi karangan 1. Hal ini berpunca daripada 9. Hal ini berpunca daripada 9.
Banyak pelajar tidak mendapat markah yang baik kerana pembentukan ayat yang lemah. Hal ini wujud akibat daripada. Hal ini berlaku kerana 4. Hal ini wujud akibat daripada 7.